förenkling 1/faktorer

Jag fårstår inte hur detta funkar. Har det något namn? Försöker att skriva ut hur det blir när man utvecklar, men får ändå det inte att gå ihopa. Och ännu mindre att man ska kunna veta hur A=B=C=D=1/4.
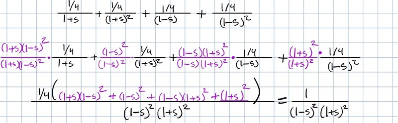
Här har jag försökt att utveckla det:

Här hittade jag ett exempel som påminner som jag förstår till vissdel:

Har dessa lösningmetoder något namn när men verkar dela upp faktorerna i nämnaren? Förutsätter det att man har 1 i täljaren?
partialbråksuppdelning är nog det ord du söker.
Ture skrev:partialbråksuppdelning är nog det ord du söker.
ok, tack! Kolla just detta exempel och det blir vädligt mycket beräkningar: (Denna säger dock att C=-1/4 och inte 1/4

jo det blir en del räknande, det finns vissa genvägar som man kan ta ibland.
Titta på den första raden utan nämnare, den som börjar med:
1= (s-1)2(s+1)A osv
uttrycket gäller för alla s, så sätt in s =1 så får du direkt ett värde på D, s = -1 ger på samma sätt ett värde på B. resten får man lösa den hårda vägen
Ture skrev:jo det blir en del räknande, det finns vissa genvägar som man kan ta ibland.
Titta på den första raden utan nämnare, den som börjar med:
1= (s-1)2(s+1)A osv
uttrycket gäller för alla s, så sätt in s =1 så får du direkt ett värde på D, s = -1 ger på samma sätt ett värde på B. resten får man lösa den hårda vägen
ok, tack!