3
svar
97
visningar
markusmuhlenbock behöver inte mer hjälp
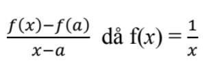
Förenkling
Tjena. Hur hade ni förenklat denna? Provat mig fram men kommer ingen vart alls.

Stort tack,
Markus
. Det innebär att ditt bråk kan skrivas som . Prova att skriva täljaren som ett enda bråk, hur blir det? :)
Tack för svar. När jag löste den blev svaret som följer, men var osäker på om det var rätt.
Det ser bra ut! :)