1
svar
86
visningar
Tror du får svar snabbare om du lägger in bilden direkt istället för en länk till bilden.
Läs -> här <- om hur du gör det.

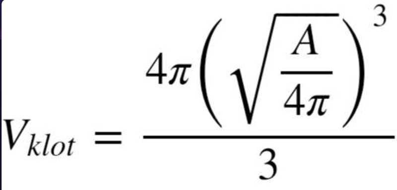
Svar på din fråga: Använd att i täljaren.