3
svar
165
visningar
förenkling

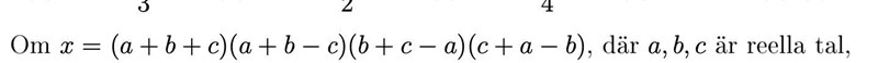
Går det att förenkla högerleden? Hur i såfall?
baharsafari skrev:
Går det att förenkla högerleden? Hur i såfall?
Konjugatregeln är ett sätt. Känner du till den ?
Korra skrev:baharsafari skrev:
Går det att förenkla högerleden? Hur i såfall?
Konjugatregeln är ett sätt. Känner du till den ?
ja men jag vet inte hur jag ska använda det här
Den andra biten blir lite svårare.. Men om du inte kommer på det finns spoiler nedan: