3 svar
151 visningar
MatMan behöver inte mer hjälp
MatMan 168 – Fd. Medlem
Postad: 23 apr 2020 10:45

Förenkling

 

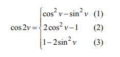
jag fick det till cos(2*π8), jag använde den här formlen

Smaragdalena 78892 – Avstängd
Postad: 23 apr 2020 11:38

Det ser vettigt ut, men du kan förenkla ett steg till.

MatMan 168 – Fd. Medlem
Postad: 23 apr 2020 11:45
Smaragdalena skrev:

Det ser vettigt ut, men du kan förenkla ett steg till.

cos(pi/4)?

Laguna 32140
Postad: 23 apr 2020 12:25
MatMan skrev:
Smaragdalena skrev:

Det ser vettigt ut, men du kan förenkla ett steg till.

cos(pi/4)?

Ja, och hur mycket är det? 

Svara
Close