Förenkling
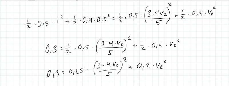
Hej, jag sitter med en uppgift men jag har fastnat och fattar inte hur man förenklar det första inringat i rött, och får det andra inringat i rött. Om någon kan hjälpa mig vore jag tacksam. Bifogar en bild på hur långt jag kommer.


Du ser ut att ha mommit mer än halvvägs på förneklingen, fortsätt!
Vad får du om du förenklar (3-4v2)2/52? Nämnaren blir 25, men vad blir täljaren? Sätt in detta och förenkla vidare.
Om du behöver mer hjälp, så visa hur mycket längre du kommer och fråga igen.
Smaragdalena skrev:Du ser ut att ha mommit mer än halvvägs på förneklingen, fortsätt!
Vad får du om du förenklar (3-4v2)2/52? Nämnaren blir 25, men vad blir täljaren? Sätt in detta och förenkla vidare.
Om du behöver mer hjälp, så visa hur mycket längre du kommer och fråga igen.
Jag lyckades lösa den till slut Smaragdalena! Men tack ändå! =)