Förenkling


Jag har fått nånting annat när ja förenkla:

Vad har ja gjort fel?
Du får hålla koll på + och -. Du skriver ibland en sak men räknar med en annan.
Men är korrekt räknat. Det är lika med det facit fick.
Jag vill veta hur kurvan beteende sig när dem närmare dessa vertikala asymptoter. Därför behöver ja räkna på ett gäng gränsvärdet.

Men när ja räkna gränsvärdet på det uttrycket som ja har fått så fick ja inte samma gränsvärdet.
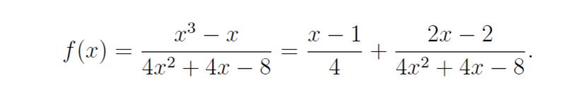
Här är den uppgiften som ja ska lösa:

Facit:


Det är den här omskrivningen som ja inte riktigt förstår. Kan någon förklarar?
Läs det som är markerat med gult. De har gjort en polynomdivision. Men den går inte riktigt jämnt ut så det blir en rest.
Vilken polynomdivision?
Polynomdivisionen
Jag tyckte det var lättare att ta
testa att utföra den polynomdivisionen så blir nog allt klart

Så här se polynomdivision ut, men ja vet inte hur ja kan skriva om det till den form som är i facit.
Du har gjort fel i din division.
Denna rad är fel -(x3-x2-2x) den borde vara -(x3+x2-3x) men sen har du räknat rätt på nästa rad :-)
Så nu har du fått: