2 svar
101 visningar
eddberlu 1815
Postad: 20 maj 2022 09:37

Förenkling

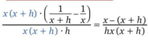
Hej ! Jag förstår inte riktigt alla steg av förkortning som sker i täljaren. Kan någon vara vänlig nog att förklara steg för steg? 

haraldfreij 1322
Postad: 20 maj 2022 09:41

x(x+h)(1x+h-1x)=x(x+h)x+h-x(x+h)x=x-(x+h)x(x+h)(\frac{1}{x+h}-\frac{1}{x})=\frac{x(x+h)}{x+h}-\frac{x(x+h)}{x}=x-(x+h)

eddberlu 1815
Postad: 20 maj 2022 09:44

❤️

Svara
Close