Förenkling
Kan man förenkla det som är markerat i blått längst ned? Eller är det partialbråksuppdelning som gäller?
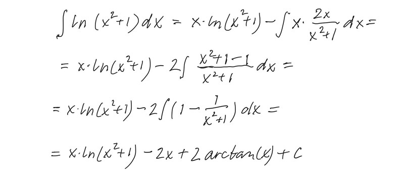
g´(x) = 2x/(x2+1)
Pi-integration en gång till?
edit.
Feltänk.
För att kunna partialbråksuppdela (utan komplexa tal) behöver det finnas rötter, så det kommer inte funka.
Däremot kan vi känna igen x som nästan derivatan till 1+x2. Det pekar mot att variabelbyte kommer vara smidigt.
Tillägg: 21 dec 2022 07:41
Det var visst fel tidigare.. Men du kan testa integrera den ändå 🙂
Blir inte helt rätt.
Jag har använt i början partiell integration och sedan när jag inte kunde lösa integralen blev jag tvungen att använda partialbråksuppdelningen.
Men skall inte g’ ovan vara
g=ln x2 +1
g’=2x/(x2+1)
och
F*g’ = 2x2 / x2 + 1
Jag insåg att man måste ju kunna faktorisera nämnaren vilket jag inte kan här då det ger inga reella lösningar så jag valde att gå vidare med variabelbyte. Det blir formarande något litet fel i svaret.
