Förenkling av algebraiskt bråkdelsuttryck
Fråga 4 från kvantitiva delen högskoleprovet 2016-10-29

Korrekt svar ska vara C
Jag kan hur man gör för att förenkla enkla bråkdelsuttryck (som endast har en täljare och en nämnare) - alltså att ”förkorta” - dividera täljare och nämnare med samma tal för att få en mindre täljare och nämnare. Jag förstår detta glasklart när det är en styck täljare och en styck nämnare men när det är olika många och flera av täljare och nämnare som i detta exempel från Högskoleprovet 2016, är jag osäker på vad som exakt gäller, hur gör man?
Försök till lösning (1): Jag tänkte först att förkorta både täljare och nämnare med "7x" men som jag förstår vad "förenkling" innebär får jag fel
Försök till lösning (2): Alternativt tänkte jag utföra divisionen; så att jag dividerar allt i täljaren "7x2+91x" med nämnaren "7x" (alltså inte förkorta täljare och nämnare med "7x")vilket inte heller gav rätt svar
.jpg?width=800&upscale=false)
Korrekt svar ska var "C", det vill säga: x + 13
Tack.
Beskriver vad du gjort för att visa att jag förstått korrekt:
Först, bryter du ut "7x" från additionen "7x2+91x" till 7x (x + 13)
Sedan förkortar du bråkuttrycket/ dividerar täljaren och nämnaren med "7x".
Har jag förstått rätt?
Ja, det är precis det jag har gjort.
Tack.
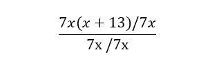
Jag tänkte sedan, måste du inte - när du förkortar ett bråk - dividera samtliga "saker"/ "element"(vet inte vad det kallas) i täljaren och nämnaren med siffran du förkortar med ?
Så i detta fall:
.jpg?width=800&upscale=false)
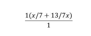
som då blir:
.jpg?width=800&upscale=false)
(Detta är alltså min kunskapslucka om vad som gäller vid förkortning av bråkdelar med flera eller olika många element som täljare och nämnare)
ja
Hej,
Kan jag få hjälp?
Du verkar krångla till det så mycket så det är nog ingen annan som begriper vad du menar, heller. Du skulle vinna på att försöka uttrycka dig på det vanliga matematiska språket i stället för att hitta på nya innovativa formuleringar.
Läs om förlängning och förkortning här.
Din senaste beskrivning av att förkorta/förlänga är korrekt.
Däremot var dina allra första försök som du skrev i trådstarten inte korrekta.
Tack Yngve
Smaragdalena,
du skrev:
"Du verkar krångla till det så mycket så det är nog ingen annan som begriper vad du menar, heller."
Vad menar du?
Jag har svårt att förstå vad du menar. Du använder ovanliga formuleringar som döljer dina tankar för mig. Det betyder inte att du tänker fel eller formulerar dig fel, men du formulerar dig på så sätt att jag har svårt att tolka det du skriver.
Det går inte att citera delar av det du har skrivit eftersom du har lagt in det som en bild, inte text. Därför är det besvärligt att ge så många exempel på vad jag menar, men när du skriver "det individuella utvalda åtskilda bråkdelsuttrycket" så tappar du bort mig någonstans på vägen. Jag tror att du helt enkelt menar bråket, men jag är inte säker.
Okej, jag har använt bilder för att det var enklaste sättet jag lyckades hitta för att överföra min Wordtext så att matte-symbolerna behölls oförändrade.
Annars så är jag här som, jag antar, de flesta andra, för att jag inte kan eller inte behärskar olika delar av matematiken och därför är här för att få hjälp och stöd. Jag gör så gott jag kan för att försöka förstå och använda de olika matematiska ord och idéer jag möter på vägen. Det handlar inte om något annat. Så om det är något i min formulering eller ordanvändning du undrar kring är du välkommen att fråga mig direkt vad jag menar.
Om,
"det individuella utvalda bråkdelsuttrycket"
Det kommer från min fråga om hur du korrekt utför förlängning eller förkortning av bråk innebär att du måste multiplicera eller dividera samtliga värden som utgör täljaren och nämnaren. Som jag förstod dig så var ditt svar nej.
Detta med utgångpunkt från:
Som du löste genom att bryta ut additonen i täljaren med 7x:
sedan förkorta bråket med 7x:
Utifrån min förståelse av förlängning och förkortning dvs att du multiplicerar eller dividerar samtliga värden i täljaren och nämnaren, undrade jag därför varför du inte också dividerade (x+13) med 7x. Sedan efter jag försökte hitta en lösning själv verkar detta förklaras av att du kan uttrycka eller dela upp ovan bråkuttryck i två åtskillda bråkdelar (åtskillda genom multiplikation):
En bråkdel: här har du endast en bråkdel (i den form den har nu, en täljare, en nämnare) att förlänga eller förkorta
Två åtskillda bråkdelar: här kan du välja av två bråkdelar (två täljare, två nämnare) vilken du förkortar /förlänger (båda/ena/ingen)
Du använder ordet "bråkdel" på ett okonventionellt sätt - detta gör det svårt att förstå vad du menar. En bråkdel brukar betyda 1/2 eller 1/3 eller 1/4 och så vidare. Du verkar mena "rationellt uttryck" när du skriver bråkdelar. Ett bråk är ett tal som kan skrivas med ett tal i täljaren och ett i nämnaren. Ett rationellt uttryck är ett uttryck som kan skrivas med ett polynom i täljaren och ett i nämnaren. Man kan t ex multiplicera ett rationellt uttryck med ett annat uttryck på samma sätt som man kan göra med tal i bråkform, den enda extra komplikationen är att nämnaren kan få värdet 0 ibland.
Okej, då verkar det helt enkelt som jag förtstått fel. Jag trodde att bråk/bråkdel/ rationellt tal / rationellt uttryck /[Q] alla var namn på samma sak definierat som "a/b" där "a" och "b" är heltal samt "b" inte är noll.
Mer precist så trodde jag att det inte heller spelar någon roll om täljaren är specifikt 1, utan endast att täljaren är ett heltal.
Intressant att nämnaren kan få ha värdet 0 ibland, hade jag ingen aning om! När får den vara det?
Men är "rationellt uttryck" då inte samma som "rationellt tal [Q]"? (eftersom definitionen ""a/b" där "a" och "b" är heltal samt "b" inte är noll." )
Intressant att nämnaren kan få ha värdet 0 ibland, hade jag ingen aning om! När får den vara det?
Nej, nämnaren får inte ha värdet 0 - då hör det x-värde som gör att nämnaren blir 0 inte till funktionens definitionsmängd. Detta kan krångla till det ibland.
Men är "rationellt uttryck" då inte samma som "rationellt tal [Q]"? (eftersom definitionen ""a/b" där "a" och "b" är heltal samt "b" inte är noll." )
Ett rationellt tal är ett tal. Det kan inte innehålla variabler, t ex "x".
Om "Nej, nämnaren får inte ha värdet 0 - då hör det x-värde som gör att nämnaren blir 0 inte till funktionens definitionsmängd. Detta kan krångla till det ibland."
Kan du teckna ett exempel på ett sådant uttryck så jag får se vad du menar?
kan inte beräknas om x har värdet 1.
Ett rationellt uttryck är kvoten av två polynom.
Låt det första polynomet vara
Låt det andra polynomet vara
Nu bildar kvoten ett rationellt uttryck.
Vi kan kalla kvoten
Vi kan beräkna t.ex. genom att sätta in överallt där det står .
Notera att också förenklingen (svar C) ger samma svar:
Men vad blir ?
Tack, intressant.
h(0) ser ut att blir = 0
.jpg?width=800&upscale=false)
.jpg?width=800&upscale=false)
.jpg?width=800&upscale=false)