2 svar
80 visningar
ddcage behöver inte mer hjälp
ddcage 24 – Fd. Medlem
Postad: 15 sep 2018 17:47

Förenkling av bråk

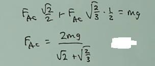
Någon som kan förklara processen bakom hur den första radens uttryck blev förenklat till uttrycket nedanför? Tack

jonis10 1919
Postad: 15 sep 2018 18:08

Hej

FAC·22+FAC·23·12=mgFAC(2+23)=2mgFAC=2mg2+23

Blev det tydligare nu?

ddcage 24 – Fd. Medlem
Postad: 15 sep 2018 18:13

Japp, nu ser jag det. Tack så mycket!

Svara
Close