Förenkling av ekvation
Jag förstår inte hur man går tillväga för att få fram talen mellan parentesen. Räkneregel jag har missat? Tacksam för svar
Hej!
Att "få fram talen mellan parenteserna" är att lösa tredjegradsekvationerna
respektive
.
Hur gör jag det?
I det andra fallet är det enkelt - du ser att x=0 är en lösning eftersom det inte finns någon konstantterm. I det första fallet kan man undersöka några enkla värden och kolla om man hittar någon rot. Sedan har man i båda fallen en andragradsekvation att kösa, och det kommer du förhoppningsvis ihåg från Ma2.
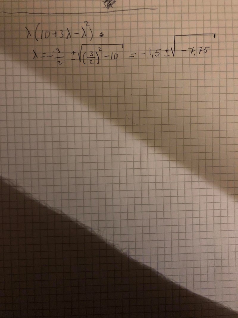
Ja jag ser att t=1. t=2 t=-2. Och andra ekvationen har svaret 0, -2, 5. Pq formeln funkar på en andragradsekvation så den kan jag använda på den andra ekvationen men får inte svaret 0, -2, 5.....
Visa hur du räknar så kan vi hkälpa dig att hitta var det har blivit fel.
Börja med att multiplicera båda sidor med -1, så att vi får en "osynlig etta" framför kvadrattermen.
Använd pq-fprmeln
, d v s
