Förenkling av ett uttryck
Hej!
Skulle behöva lite hjälp med att förstå denna uppgift:
Jag har börjat på detta sätt med att multiplicera in potenserna med parenteserna :
Men det är här det tar stopp för mig, och vill verkligen lära mig hur man förenklar dessa uttryck, så uppskattar all hjälp!
filipsrbin skrev:Hej!
Skulle behöva lite hjälp med att förstå denna uppgift:
2 ) 3 / 2 ( 8 s - 3 t 3 ) 1 / 2
Jag har börjat på detta sätt med att multiplicera in potenserna med parenteserna :
Men det är här det tar stopp för mig, och vill verkligen lära mig hur man förenklar dessa uttryck, så uppskattar all hjälp!
Kan du lägga in en bild av uppgiften? Som det är nu är det ganska obegripligt för oss alla.
Om jag utgår från det du har skrivit längre ner så har du t ex när det gäller t-faktorerna =t3-1,5=t1,5= och du kan göra på motsvarande sätt för siffrorna och för s-faktorn. Tänk på att 8 = 23.
Smaragdalena skrev:filipsrbin skrev:Hej!
Skulle behöva lite hjälp med att förstå denna uppgift:
2 ) 3 / 2 ( 8 s - 3 t 3 ) 1 / 2
Jag har börjat på detta sätt med att multiplicera in potenserna med parenteserna :
Men det är här det tar stopp för mig, och vill verkligen lära mig hur man förenklar dessa uttryck, så uppskattar all hjälp!
Kan du lägga in en bild av uppgiften? Som det är nu är det ganska obegripligt för oss alla.
Om jag utgår från det du har skrivit längre ner så har du t ex när det gäller t-faktorerna $$\frac{t^3}{t^{\frac{3}{2}}$$=t3-1,5=t1,5= och du kan göra på motsvarande sätt för siffrorna och för s-faktorn. Tänk på att 8 = 23.

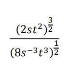
Detta är uppgiften
Börja med att skriva om 8 som 23. Titta sedan på mitt redigerade och numera läsliga svar.
Smaragdalena skrev:Börja med att skriva om 8 som 23. Titta sedan på mitt redigerade och numera läsliga svar.
Löste det, fick svaret
Tackar! :)