3
svar
124
visningar
Karlsson12345 behöver inte mer hjälp
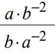
Förenkling av potenser
Hej! Hur förenklar man det här? Kan man skriva det som a/b*(1/b^2 / 1/a^2) ?

Ja, det går bra! Däremot behöver du nu förenkla vidare. Vad är ? :)
Blir det a^-2 / b^-2?
Nja, inte riktigt. Prova med några tal först, hur beräknas ?