1
svar
69
visningar
Karlsson12345 behöver inte mer hjälp
Förenkling av potenser
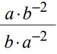
Hej! Jag försökte förenkla denna:

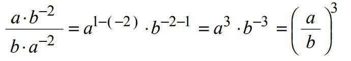
Men i lösningsförslaget stod det så här: Men var fick dem ettorna ifrån?

Edit: Ser nu att du redan frågat om denna uppgift. Fortsätt gärna i samma tråd när det är samma uppgift.