Förenkling av rotuttryck
Hej! Jag håller på att repetera gymnasiematematiken inför högskolan. Denna uppgift finns med i ett kompendium vi fått i samband med föreläsningarna. Jag är dock osäker på i vilken kategori jag ska publicera denna tråd.
Uppgiften är att förenkla ett uttryck, där jag arbetar på enligt följande:
Dock så säger facit att svaret blir , dvs med ett beloppstecken. Hur kan man motivera detta? Originaluttrycket är definierat för alla x, och roten ur (som funktion) är endast definierad för positiva a. Men om man bara räknar på så som jag gjorde så borde mitt svar också vara rätt. Eller?
Mvh
Låt och , beräkna för och .
Vad händer med teckeninformationen framför p?
Ja, tecknet framför p försvinner ju naturligtvis. Men räcker det som motivering när man svarar?
Hej Tarkovsky!
Det du skriver saknar mening, eftersom som du skrivit ett komplicerat rotuttryck i symbolen och sedan hävdar att det komplicerade rotuttrycket gäller för alla reella tal , utan att säga något om kopplingen mellan symbolen och talet
Om du från början vet att är ett negativt tal så är slutsatsen () inte definierad; premissen innehåller däremot ett definierat objekt: Det positiva talet
Det gäller att fjärde-roten är definierat som det icke-negativa tal som är sådant att
Det medför att om betecknar ett negativt tal så är
Albiki
Det gäller att
detta eftersom just "tar bort" tecknet på . Precis på samma sätt som
Tack för era svar. Jag såg nu att precis som du skriver Albiki så saknar mitt första inlägg mening. Naturligtvis skulle det stå a istället för x. Sorry!
Alltså gäller det alltid, mer generellt, att om n är jämnt?
Ja, det gäller alltid.
Några andra exempel illustrativa exempel baserat på mina möten med nybakade gymnasiestudenter:
inte , ty och .
Ekvationen däremot har lösningarna
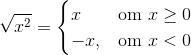
För varje reellt tal x gäller

är inte definierat.