2
svar
71
visningar
sweeken behöver inte mer hjälp
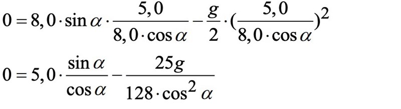
Förenkling av tal
Hej jag har två liknande tal som i lösningsförslagshäftet är förenklade enligt nedan och jag förstår inte riktigt hur dem gjort allt, kan någon visa samtliga steg dem (kan ha) tagit? (bör detta postas i matematik eller fysik?)


Från rad 1 till rad 2: Första termen: 8,0 i täljaren och 8,0 i nämnaren tar ut varandra. Andra termen: (5,0)2 = 25, 8.8.2 = 128 i nämnaren, muptiplicera in g i täljaren.
Från rad 3 till rad 4 bygger på att sin 45o = cos 45o = .
tack så mycket.