2
svar
83
visningar
Förenkling av uttryck
Hej! Behöver lite hjälp med detta problem!
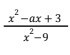
Bestäm talet a så att uttrycket kan förenklas.

Förstår inte hur jag ska bestämma a, vilket metod ska jag använda? Tacksam för svar!
Du har säkert faktoriserat nämnaren till (x+3)(x-3).
För att vi ska kunna förenkla uttrycket måste täljaren innehålla någon av dessa faktorer.
Den måste då vara antingen (x+3)(x+1) eller (x-3)(x-1).
Ser du varför?
Multiplicera ihop parenteserna så ges a.
Börja med att faktorisera nämnaren. Finns det någon faktor i nämnaren som skulle kunna återkomma i täljaren, om vi väljer a på något listigt sätt?