1 svar
95 visningar
Themather1234 behöver inte mer hjälp
Themather1234 148 – Fd. Medlem
Postad: 20 okt 2021 18:13

Förenkling av uttryck

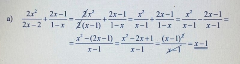
fastnat och försöker förstå facit
 Är med på att de bryter ut 2an i första steget. Men vad är det som gör att man här kan få x-1 i båda nämnarna? Hur kan 1-x helt vara bytas till x-1?

Ture 11168
Postad: 20 okt 2021 18:15

man bryter ut -1 ur ena nämnaren, därför dök det upp ett minustecken framför andra bråket

Svara
Close