1
svar
56
visningar
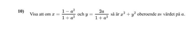
Förenkling . Bevisning
Hur kommer jag vidare med min förenkling? 
Jag tror att du tar ett snedsteg när du förenklar bort nämnaren. Vad händer om du utvecklar täljaren istället? :)