4
svar
77
visningar
Axiom behöver inte mer hjälp
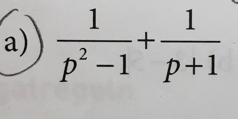
Förenkling, fel ?
.jpg?width=800&upscale=false)
När jag räknar på detta får jag det till p/(p^2-1) men facit säger -p(p^2-1)
Vad har jag gjort för fel?
Använd Konjugatregeln på p²-1 så blir det nog tydligare. :)
Dracaena skrev:Använd Konjugatregeln på p²-1 så blir det nog tydligare. :)
Jag gjorde det men det blir ändå fel!
Ja du har rätt, det är alltså fel i facit.
Dracaena skrev:Ja du har rätt, det är alltså fel i facit.
Tack så mycket för hjälpen i alla fall! :)