2
svar
112
visningar
lijo01092 behöver inte mer hjälp
Förenkling förstår inte

hur går det är till???
Vad är det som händer? Hur vet man att integralen av
Och hur lyckas man förenkla cos^2x till sin^2x????
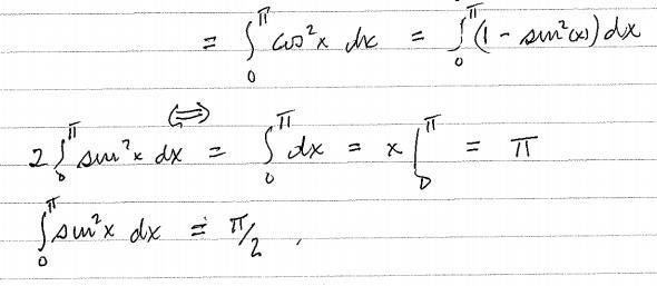
Det var en förvirrande lösning! Tanken i lösningen är följande: Använd trigettan för att skriva om integranden till . Sedan kan vi splitta upp integralen i två, så att vi får , och eftersom blir integralens värde . Däremot hur de får värdet av till , ja det är oklart.
En bättre lösningsmetod: Dubbla vinkeln ger att . Trigettan ger oss att . Om vi summerar dessa likheter får vi:
Nu kan vi skriva om som , som vi kan integrera med vanliga integrationsregler. :)
Hej,
Det stämmer att
För att beräkna den återstående integralen kan identiteten användas vilken ger