5 svar
99 visningar
#älskamat behöver inte mer hjälp
#älskamat 105
Postad: 22 mar 2024 23:13

Förenkling i derivering av funktion - matte

Hej!

Jag har kommit till sista steget men jag vet inte hur jag ska förenkla:

y' = 6(2x-3)2 × (2-x)+ (-6)×(2-x)5 × (2x-3)3

Trinity2 4042
Postad: 22 mar 2024 23:30
#älskamat skrev:

Hej!

Jag har kommit till sista steget men jag vet inte hur jag ska förenkla:

y' = 6(2x-3)2 × (2-x)+ (-6)×(2-x)5 × (2x-3)3

Bryt ut

6(2x-3)2(2-x)5

Du får

6 (x-2)^5 (2 x-3)^2 (3 x-5)

vilket räcker för att lösa y'=0.

#älskamat 105
Postad: 22 mar 2024 23:34 Redigerad: 22 mar 2024 23:34

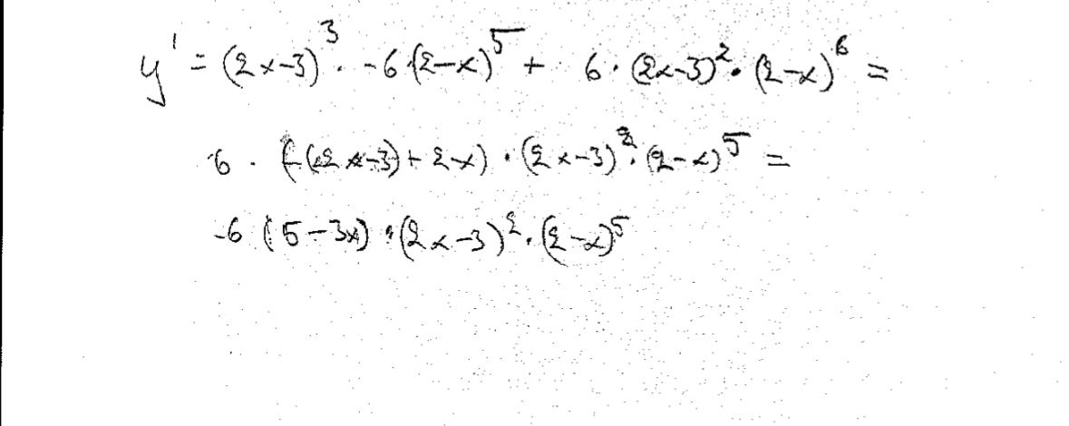
Det här är min professors lösning (kan inte tydligt läsa vad han har skrivit och förstår inget XD), är det samma svar ni får för jag är lite förvirrad?

Trinity2 4042
Postad: 22 mar 2024 23:41

Kan du ge uppgiften från början? Jag kan ej heller läsa vad han/hon skrivit och det är rörigt. Vad betyder * - 6?

Yngve 42550
Postad: 23 mar 2024 08:10 Redigerad: 23 mar 2024 08:12

Tips: Ibland kan det vara svårt att se strukturen i uttryck eftersom det är för mycket detaljer som skymmer sikten. Man "ser inte skogen för alla träd".

Då kan det vara smart att ge sig själv hjälp att "zooma ut" för bättre översikt.

Ett sätt att göra det är att tillfälligt ersätta komplicerade uttryck med enklare.

Förslag:

Sätt A = 2x-3 och B = 2-x.

Då blir uttrycket 6A2•B6+(-6)•B5•A3

Nu hoppas jag att det blev mycket tydligare att de gemensamma faktorerna är 6, A och B.

Om du bryter ut så mycket som möjligt av dessa så får du 6A2B5(B-A).

Du kan nu byta tillbaka från A till 2x-3 och från B till 2-x.

Uttrycket blir då 6(2x-3)2(2-x)5((2-x)-(2x-3)), vilket kan förenklas till 6(2x-3)2(2-x)5(2-x-2x+3), dvs 6(2x-3)2(2-x)5(5-3x).

Detta är samma resultat som Trinity2 fick, fast på en annan form.

Det resultat din professor fick är samma uttryck, fast med omvänt tecken.

#älskamat 105
Postad: 23 mar 2024 22:43

Jag förstår, jag ska göra det nästa gång :)

Tack så mycket för svaren!

Svara
Close