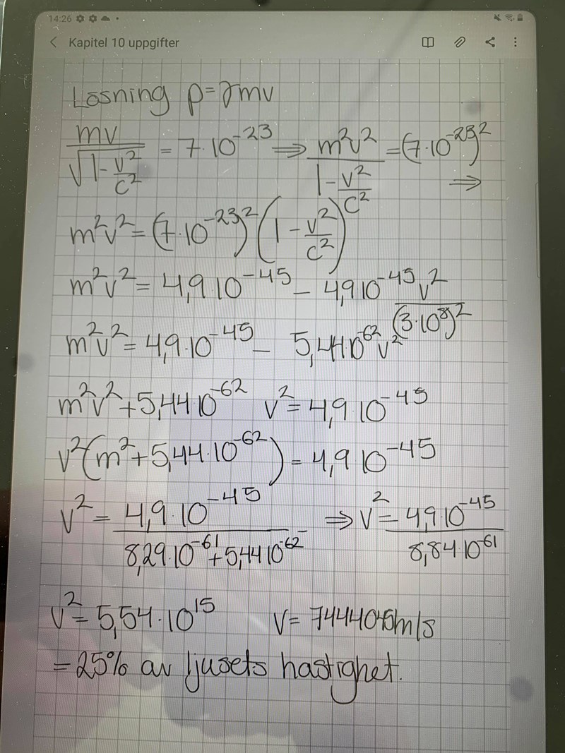
Förenkling m^2v^2 = p^2 *(1-(v^2/c^2)
Hej!
jag förstår inte hur facit har förenklat ekvationen enligt nedan. Jag har löst uppgiften genom att sätta in alla siffror direkt, men risken för att det blir fel blir ju avsevärt mycket högre.
jag vill gärna förstår steget i bifogad bild, för just nu förstår jag inte varför 1. Man väljer att multiplicera in c^2 och 2. Hur det leder på påföljande steg.


Jag skriver k stället för värdet 7.10-23 för jag tycker det blir mindre rörigt.
förläng så att vi har c2 i nämnaren överallt
addera på båda sidor
så är vi framme på sista raden.
Hur vet jag att jag ska addera på vardera sida? Ser inte hur det följer naturligt.
Det är det som facit har gjort mellan rad 2 och 3.
Du får skicka med några rader till av facit för att jag skall kunna gissa det, eller åtminstone ge själva uppgiften.
Oj ja det hade jag missat! 1015 d) gäller det!

Emlial skrev:Oj ja det hade jag missat! 1015 d) gäller det!
1015 c, tydligen.
Man vill ju lösa ut v ur uttrycket, så när man har kommit så långt som på tredje raden i din första bild behöver man "bara" multiplicera med c2 och dividera med den hemska parentesen samt dra roten ur resultatet.
Jag ber om ursäkt för virrigheten..
Jag tror att jag förstår nu, ska testa att lösa om hela uppgiften imorgon!
Tusen tack för att du hjälper till Smaragdalena, vet inte vad jag hade gjort utan er hjältar på pluggakuten.