Förflyttning

Såhär har jag börjat med denna. Stämmer ritningen för a? Och hur går jag vidare i b? Jag har skrivit om dem till a+bi men hur får jag fram målets position?
Du bör känna till 30-60-90graderstrianglar och 45-45-90graders trianglar.
Med hjälp av dem får man att första förflyttningen är 20 + i 20sqr 3 och att den tredje är
(1+i) 25 sqr 2
Det andra förflyttningen är –30.
Bilden verkar helt ok.
Hur räknade du fram det?
Det återkommer så ofta i matematiken (inte minst vid övningar på komplexa tal) att du absolut ska kunna det.
1. Tänk dig en triangel med vinklarna 30, 60 och 90 grader. (Eller rita den.)
Låt den kortaste sidan vara a.
Då är den längsta sidan 2a och ”mellansidan” a gånger roten ur 3.
Det är lätt att visa, men börja med att lära dig det.
Av detta följer att om den längsta sidan är 1 så är den kortaste 1/2 och mellansidan 1/2 gånger roten ur 3. Och, simsalabim, har du att
sin 30° = 1/2 och sin 60° = (roten ur 3)/2
värdena för cosinus och tangens faller ut direkt.
2. Tänk dig (eller rita) en triangel med vinklarna 45, 45 och 90°. Om de två korta sidorna är a så är den långa sidan a gånger roten ur 2.
Så cos 45° = sin 45° = 1/(roten ur 2) och tan 45° = 1.
Om man har detta klart för sig blir väldigt många uppgifter mycket enklare.
Såhär? Och hur använder jag det till uppgiften?
Jag förstår att du var alltför trött när du gjorde de två triangelskisserna. Både proportionerna och flera av måtten blev fel.
Standardtrianglarna med vinklarna 45, 45, 90 och 30, 60, 90 grader och deras mått måste man kunna utantill utan att behöva göra beräkningar.
Det underlättar dessutom väldigt mycket om man ritar figurer med rätta proportioner, annars leds lätt tankegången fel.
Kan du visa? Hittar endast engelska förklaringar på youtube så förstår inte ritning
Vad behöver visas?
Utgå från en liksidig triangel, dela den mitt itu. En sådan del har vinklarna 30, 60 90 grader.
Utgå från en kvadrat, dela den diagonalt mitt itu. En sådan del har vinklarna 45, 45, 90 grader.
Det är själva trianglarna som jag inte förstår
Okej, men hur ska jag använda de för att räkna ut målets position?
Mogens har beskrivit det i inlägg #2.
Ja men jag förstår inte hur förflyttningarna blev så. Kan du visa hur man räknar ut det?
Stämmer detta?
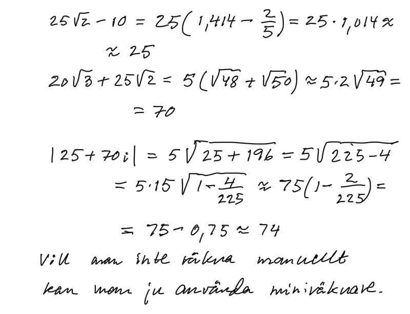
eller jag är rätt säker på b) men något blev fel i c tror jag. Tänkte lägga ihop 25 + 70 men de känns fel?
Eftersom man kunde/skulle gå över till heltal i slutberäkningen på b) så blev dina c) beräkningar väl krångliga. Hoppas komplexa tal känns bekvämare nu.
Hur menar du? Hur kom du fram till 25+70i?
Okej. Men på b ska jag svara i heltal, vad betyder det? Kan jag svara så som jag skrev eller ska jag skriva om det till 25+70i?
√3 exempelvis är inte ett heltal utan ett irrationellt tal. Heltalen är de naturliga talen tillsammans med de negativa naturliga talen.
Så?

