Förhållandet mellan hastighet och bränsleförbrukning

Uppgiften handlar om förhållandet mellan hastighet och bränsleförbrukning.
Steg 1: Förstå sambandet mellan kraft och arbete
Arbetet W som utförs av en kraft F som verkar längs en sträcka s är produkten av kraften och sträckan. När kraften är kostant och riktad i rörelsens riktning kan arbete uttryckas som W=F*S.
Steg 2: Arbete som funktion av hastighet
När vi talar om rörelse av ett fordon, kan vi omformulera arbetet som produkten av kraften och hastigheten V över tid .
Steg 3: Bestäm dragkraften F som aerodynamiska motstånd
Dragkraften F för ett föremål som rör sig genom luft kan beräknas med formeln för aerodynamiskt motstånd:

Steg 4: Arbete som funktion av dragkraft
Eftersom F=FD, kan skriva om arbetet som funktion av hasigheten:

I detta sammanhang är effekten som krävs för att övervinna luftmotståndet vid en viss hastighet proportionell mot kubiken av hasigheten, förutsatt att alla andra faktorer (dragkofficienten, tvärsnittarean och luftens densitet) är konstant.
Steg 5: Jämföra arbete vid två olika hasigheter
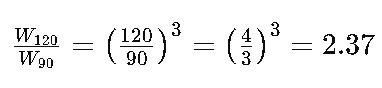
För att hitta förändringen i arbete (och därmed effekt och bränsleförbrukning) när hasigheten ändras från 90 km/h till 120 km/h, beräknar vi kvoten av de två arbetena:

Steg 6: Beräkna den procentuella ökningen
Vi konverterar först hastigheterna till samma enheter, vilket redan är gjort eftersom de båda är i km/h, och sedan beräknar vi kvoten:

Detta betyder att arbete (och därmed bränsleförbrukning) ökar med en faktor av 2.37 när hasigheten ökar från 90 km/h till 120 km/h.
För att få den procentuella ökningen subtraherar vi 1 (eftersom 1 motsvarar ingen ökning) och multiplicerar resultatet med 100.
Så ökningen i bränsleökningen är 137%.
Steg 8: Ökning per vägsträcka
Effekten är direkt proportionell mot bränsleförbrukningen. Eftersom effekten är proportionell mot V^3 och bränsleförbrukningen är proportionell mot effekten,
följer att bränsleförbrukningen per vägsträcka är proportionell mot V^2. Så vi kan beräkna den relativa ökningen i bränsleförbrukning per vägsträckan när hasigheten ändras från 90 km/h till 120 km/h:

Detta ger en ökning på 78% i bränsleförbrukning per vägsträcka, vilket är mer relevant för en förare eftersom det direkt relaterar till mängden bränsle som förbrukas för att resa en given distans.

Den här formeln förvirrar mig. Varför är det bränsleförbrukning per vägsträcka.
Jag behöver hjälp här!
W = arbete. s = sträcka.
Definition arbete: dW = Fds, vilket ger dW/ds = (arbete per vägsträcka) = F.
I detta fall så var F proportionell mot v2.