6
svar
133
visningar
m83_11 behöver inte mer hjälp
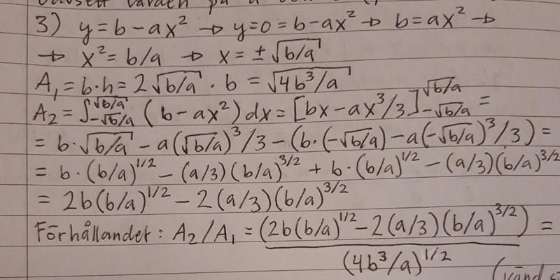
Förhållandet mellan två areor
I sista punkten på följande uppgift ska man visa att förhållandet 2/3 gäller för alla värden på a och b. Men jag får förhållandet till 8/9. Bild på uppgiften (sista punkten) och bild på min lösning visas nedanför.



Hur menar du med att du multiplicerar alla exponenter med två?
:)
a^((1/2)*2) = a^(2/2) = a^1 = a
Jag inser nu att man kan inte multiplicera alla exponenter med 2.
Hur går man tillväga?
Behövde bara skriva om potenserna
t.ex. (b/a)^(3/2)=(b/a)*(b/a)^(1/2)
Bra! Ja, förenkling är rätt väg att gå här. :)