2
svar
139
visningar
Na5a behöver inte mer hjälp
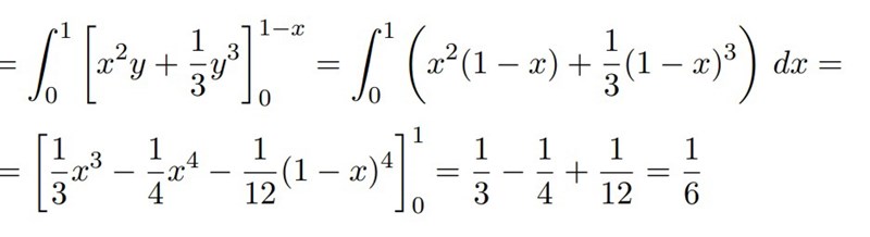
förklara delberäkning av integral

varför blir till ? Borde man inte först lösa ut vad (1-x)³ blir och sedan ta primitv av den?
Borde
Du kan göra så men det är onödigt arbete. Här kan man använda vanlig integrering då inre derivatan är 1.
Prova derivera din primitiva för den termen. :)
Tack!