2
svar
81
visningar
Förklara det här steget för mig (Integrering)

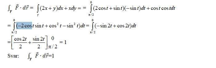
jag förstår inte hur det i det blå markerade steget är lika med (-sin2t + cos2t) . är väl något självklarhet som jag missar.
Smaragdalena skrev:
Ahhhhh :)