2
svar
120
visningar
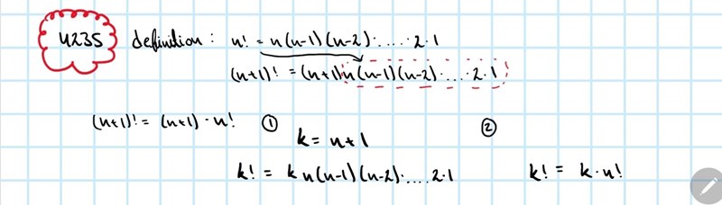
Förklara varför (n + 1)! = (n + 1)n!
Jag förstår inte hur jag ska fortsätta och behöver därmed hjälp

Låt k=n+1 och skriv om uttrycket.
Hur då?
