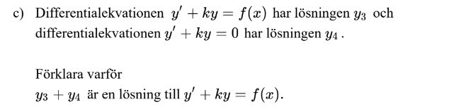
Förklara varför y3+y4 är en lösning

Visa spoiler

Okej, så jag förstår att yp+yh=y och anledningen till att y3+y4 är en lösning till y'+ky=f(x) är för att det är dess homogena lösning + dess partikulärlösning.
Men hur ska jag kunna ansätta något på partikulärlösningen när jag inte vet hur den funktionen ser ut? Det kan vara en andragradare eller en rät linje, jag vet ju inte.
Men y4=Ce^-kx (homogena lösningen)
Hur ska jag få fram y3? (parikulärlösningen)
Dem vill i det här fallet inte att du får fram de exakta lösningarna till båda diff ekvationerna, utan de vill att du ska visa att y3 + y4 är en lösning till y' + ky = f(x). Du behöver inte veta vad y3 och y4 är utan behöver bara sätta in dem i diffekvationen y' + ky = f(x) och visa att VL = HL.
Arian02,Hur ska jag göra det om jag inte vet de exakta lösningarna?
Axiom skrev:Arian02,Hur ska jag göra det om jag inte vet de exakta lösningarna?
du har diffekvationen y' + ky = f(x) och vill visa att y3 + y4 är en lösning till diffekvationen.
Arian02 skrev:Axiom skrev:Arian02,Hur ska jag göra det om jag inte vet de exakta lösningarna?
du har diffekvationen y' + ky = f(x) och vill visa att y3 + y4 är en lösning till diffekvationen.
Aha okej, då tror jag att jag förstår. Man skulle alltså använda sig av att den kan skrivas som + 0 och på sås ätt få in båda definitionerna. Tack för hjälpen!