1
svar
60
visningar
offan123 behöver inte mer hjälp
Förkorta

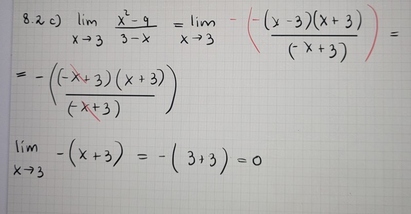
Jag får inte riktigt till det, har försökt förenkla uttrycket så att jag kan stryka bort vissa delar. Svaret ska bli -6
Titta på drt här igen.
