4
svar
117
visningar
adam_21 behöver inte mer hjälp
Förkorta polynom
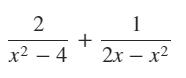
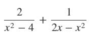
Förkorta följande polynom:
Jag vet inte hur jag ska fortsätta med uppgiften. Jag har kommit så här långt:

adam_21 skrev:Förkorta följande polynom:
Jag vet inte hur jag ska fortsätta med uppgiften. Jag har kommit så här långt:
Jag råkade skriva ett fel i den andra raden, det ska egentligen stå ett plustecken mellan de två bråken istället för ett minustecken.
Då ser du att de båda termerna har en gemensam faktor, x-2. Vilken blir mgn?
Smaragdalena skrev:Då ser du att de båda termerna har en gemensam faktor, x-2. Vilken blir mgn?
Mgn blir väl då x(x+2)?
Nja, du har ju inte den faktorn i täljaren, så du kan inte förkorta bort den. Vilken är mgn? Hur ser uttrycket ut när du har skrivit om båda termerna med samma nämnare?

