Förkorta snabbare
Hej!
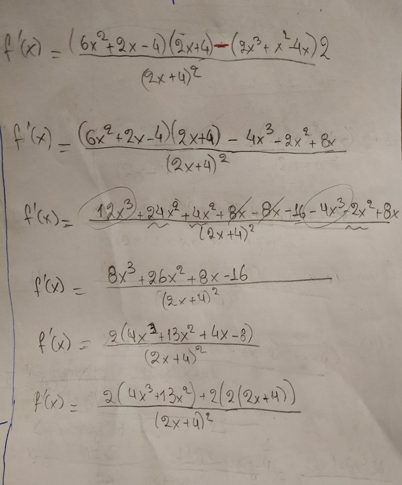
Jag försökte derivera följande men fastnar vid parenteser... Jag kunde multiplicera dem men i facit står något förkortat svar...Förslag om hur jag kan försätta?
f'(x) = 
Du har skrivit f'(x) och inte f(x) överst.
Kan du ladda upp en bild på uppgiften?
======
Om det skulle stå f(x) överst så har du deriverat rätt.
Men steg 2 bör vara att förenkla täljaren istället för att dela upp i två termer och förenkla dem var för sig.
Ja, det skulle stå f(x)..
Jag är osäker om det är så du menar...eftersom den blev lång igen...och i facit någonting helt annat.
Kontrollera din uträkning, det har blivit fel i täljaren.
- Ett minustecken (1)
- Har försvunnit (2)
- Och sedan dykt upp igen, fast som ett multiplikationstecken (3)

Oj! Det hade jag inte märkt. Tack!
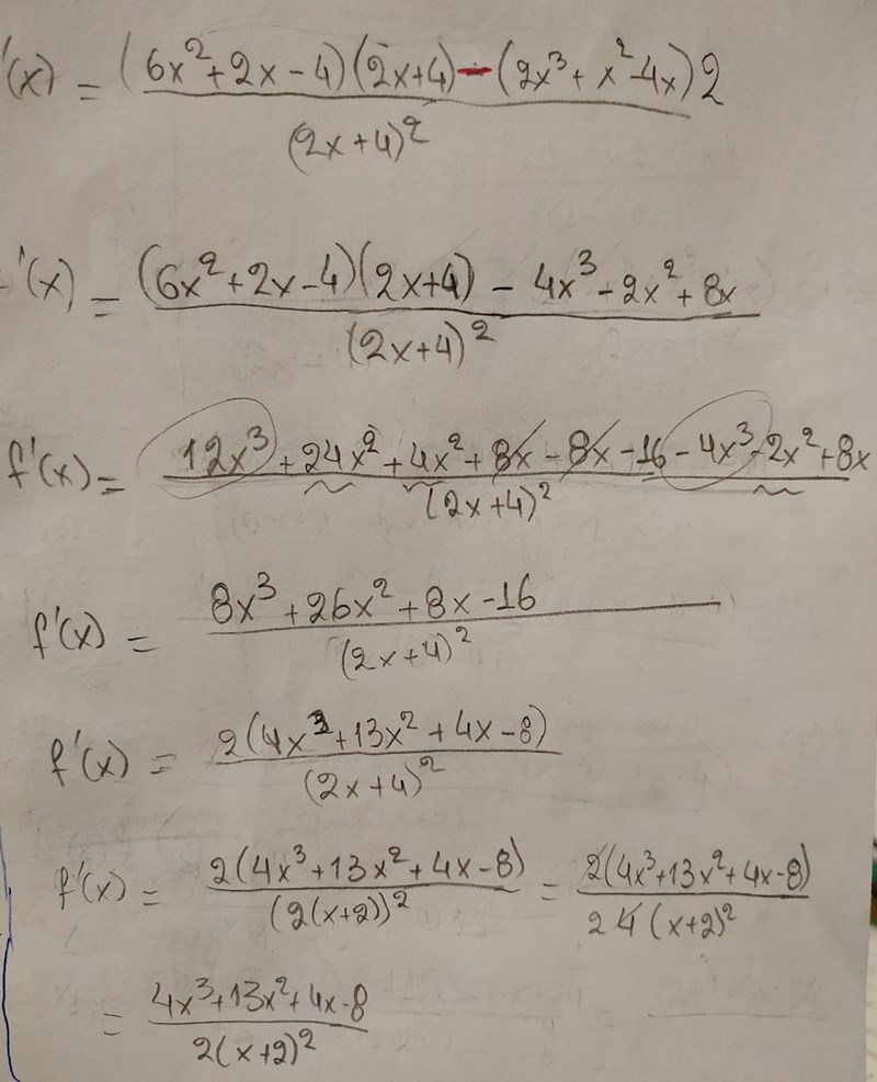
Jag har gjort om uträkningen. Dock vet inte om det som jag har skrivit i sista steget är rätt. 
Allt är rätt fram till näst sista raden. Men sedan gör du något konstigt med de sista två termerna innanför täljarens parenteser.
Du bör alltid alltid kontrollera dina faktoriseringar genom att multiplicera ihop dem igen.
==============
Om uppgiften gäller att ta fram derivatan till så får jag inte fram något enklare svar än .
EDIT - Rättat fel i nämnaren
Kan du ladda upp en bild på själva uppgiften och facit?
Rättat fel i derivatans nämnare.
Det ska jag göra! Tyvärr, är uppgiften online och 'försvinner' efter några timmar.
Varför skrev du 2(x+2) i nämnaren? 
Vad bra, att mitt svar stämmer!
Tack för hjälpen!