9 svar
124 visningar
maratikmatorkin behöver inte mer hjälp
maratikmatorkin Online 394
Postad: 19 aug 2025 14:27

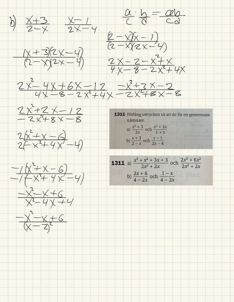
Förläng uttrycken så att de får en gemensam nämnare

Hej.

 

det fungerade bra med a) men inte b)..

mvh

Laguna Online 32110
Postad: 19 aug 2025 14:30

Man förväntas se att 2-x och 2x-4 har en gemensam faktor, nämligen 2-x.

maratikmatorkin Online 394
Postad: 19 aug 2025 14:33
Laguna skrev:

Man förväntas se att 2-x och 2x-4 har en gemensam faktor, nämligen 2-x.

😅 så är det ju givetvis! Tack för snabbt svar. 

maratikmatorkin Online 394
Postad: 19 aug 2025 14:49 Redigerad: 19 aug 2025 14:53
Laguna skrev:

Man förväntas se att 2-x och 2x-4 har en gemensam faktor, nämligen 2-x.

Eller hur har 2x-4  (2-x) som faktor?

 

EDIT:tror jag ser det nu.

 

EDIT: eller nej. Har du möjlighet att förklara?

maratikmatorkin Online 394
Postad: 19 aug 2025 15:19

Det enda jag ser är om jag förlänger den vänstra med -2 vilket verkar ge rätt svar. 

maratikmatorkin Online 394
Postad: 20 aug 2025 05:59

Verkar bli stonewallad av Laguna. Ska höra med en lärare idag. Återkommer.

Yngve Online 42661
Postad: 20 aug 2025 07:09 Redigerad: 20 aug 2025 07:09

Du är nog inte ignorerad, men alla är inte online hela tiden.

2x-4=2·x-2·2=2x-4=2\cdot x-2\cdot2=

=2(x-2)=-2(2-x)=2(x-2)=-2(2-x)

maratikmatorkin Online 394
Postad: 20 aug 2025 10:08
Yngve skrev:

Du är nog inte ignorerad, men alla är inte online hela tiden.

2x-4=2·x-2·2=2x-4=2\cdot x-2\cdot2=

=2(x-2)=-2(2-x)=2(x-2)=-2(2-x)

Laguna var online rätt länge efteråt. Hursomhelst. Irrelevant i det stora hela. Ville bara bemöta ditt påstående.

och det där har jag redan gjort. Såg att jag inte visat det dock. Men min lärare sa något som fick det att fastna. -2 = -1 * 2. Alltså att man bryter ut -1. Då förstår jag!

Yngve Online 42661
Postad: 20 aug 2025 11:05

OK bra att din lärare kunde hjälpa till.

Som du säger, det viktiga är att du får hjälp, oavsett hur och av vem.

maratikmatorkin Online 394
Postad: 20 aug 2025 11:06
Yngve skrev:

OK bra att din lärare kunde hjälpa till.

Som du säger, det viktiga är att du får hjälp, oavsett hur och av vem.

🤝

Svara
Close