Formel för varians
Hej,
Jag läser en exempeluppgift i min lärobok i matematisk statistisk.
Exemplet bygger på ett tidigare exempel, men det går att förstå uppgiften ändå. Här är exemplet:


Det jag inte kan förstå mig på är den formel man använder för att beräkna variansen V av η. Jag har läst hela kapitlet, men kan inte någonstans se att man tar fram variansen på det sätt man gör här. Hur ska man tänka? Det är alltså denna del jag undrar över:

Du har ju att väntevärdet är två. Då följer av nedanstående definition att (X-E[X])2 blir (k-2)2

Och definitionen kan också skrivas om på följande sätt som enligt bilden nedan, vilket förhoppningsvis tydliggör hur de gjorde i uppgiften. Pj är ju då dina 0.09, 0.24, 0.24, 0.34 och 0.09. Anledningen varför 0.34 inte räknas är ju för att 2+(-2) = 0.

klonk skrev:Du har ju att väntevärdet är två. Då följer av nedanstående definition att (X-E[X])2 blir (k-2)2
Och definitionen kan också skrivas om på följande sätt som enligt bilden nedan, vilket förhoppningsvis tydliggör hur de gjorde i uppgiften. Pj är ju då dina 0.09, 0.24, 0.24, 0.34 och 0.09. Anledningen varför 0.34 inte räknas är ju för att 2+(-2) = 0.
Tack!
Jag tycker det blev tydligt med variansformeln som beskrivs i den sista bilden du gav.
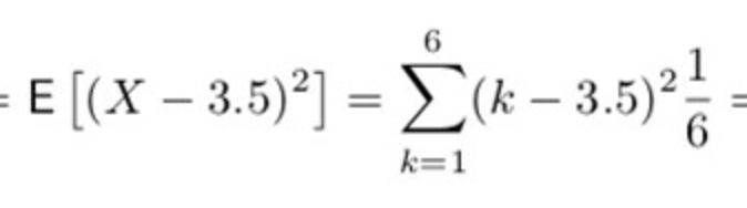
Men, jag förstår inte hur det som står till vänster om likamedtecknet kan vara det som står till höger:

Var kommer 1/6 ifrån? Jag fattar att det är sannolikheten att få en siffra på tärningen, men var i vänsterledet framkommer det att man ska multiplicera med den sannolikheten?
starboy skrev:klonk skrev:Du har ju att väntevärdet är två. Då följer av nedanstående definition att (X-E[X])2 blir (k-2)2
Och definitionen kan också skrivas om på följande sätt som enligt bilden nedan, vilket förhoppningsvis tydliggör hur de gjorde i uppgiften. Pj är ju då dina 0.09, 0.24, 0.24, 0.34 och 0.09. Anledningen varför 0.34 inte räknas är ju för att 2+(-2) = 0.
Tack!
Jag tycker det blev tydligt med variansformeln som beskrivs i den sista bilden du gav.
Men, jag förstår inte hur det som står till vänster om likamedtecknet kan vara det som står till höger:
Var kommer 1/6 ifrån? Jag fattar att det är sannolikheten att få en siffra på tärningen, men var i vänsterledet framkommer det att man ska multiplicera med den sannolikheten?
Kolla nedan på den aningslöse statistikerns sats (det är bara definitionen av väntevärde för en funktion) :

Den ger att E[(X-3,5)2] är (X-3,5)2 * P(X=k). Vi vet ju att P(X=k) är 1/6.
Vi gör exakt samma grej i din uppgift, men P(X=k) ges istället av tabellen och g(X) = (k-2)2
Hoppas det förklarar men hojta till om det fortfarande är otydligt.
