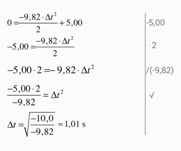
formel uträkning

Varför tog dom inte +9,82 på båda sidor utan dividera med 9,82 istället?
Vad hade det blivit då?
i vanlig matte brukar man oftast ta och addera bort talet på båda sidor men här har dom dividerat och i parantes förstår inte varför?
mattegeni1 skrev:i vanlig matte brukar man oftast ta och addera bort talet på båda sidor men här har dom dividerat och i parantes förstår inte varför?
Man gör det man behöver göra för att uttrycket med den variabel man vill lösa ut ska bli enklare.
ja det förstår jag men det var inte svaret på min fråga...
mattegeni1 skrev:ja det förstår jag men det var inte svaret på min fråga...
Svara på min fråga då.
Det här är väldigt, väldigt vanlig matte. Om du skulle lösa ekvationen 2x=4, vilket räknesätt skulle du använda?
dividerat med 2 på båda sidor?
jag förstår men jag förstår inte varför det är inom parantes?
I högerspalten försöker de vara extra tydliga och pedagogiska och berätta vad det är de gör. Eftersom -9,82 är ett negativt tal, sätter de det inom parentes för man kan inte skriva /-9,82.