1
svar
123
visningar
Pennypacker behöver inte mer hjälp
Formulera svar, skriva om roten ur. Uppgift 4456
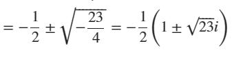
Jag förstår inte hur de tänker när de skriver om svaret i bilden i mitten. Jag skulle kunna skriva mitt svar som -1/2 (+-)
Hur nämnaren försvinner och blir en etta framför +- är vad jag inte förstår.



De bryter ut -1/2.