Förskjutning och spänning
Hej Pluggakuten!
Sitter pluggar på lärarens uppgifter för hållfasthetslära och har stött på två uppgifter som ser exakt likadana ut, dock helt annorlunda i lösningsförslaget. Så jag undrar om ni ser skillnaden mellan dessa uppgifter eller om det är jag som är helt borta. Den första bilden förstår jag helt, dock försöker jag tillämpa samma princip på den andra bilden och får helt fel svar. Jag kan heller inte förstå mig på lösningsförslaget för den andra bilden. Vad är skillnaden? Och varför blir det så stor skillnad på lösningsproceduren?
Tack på förhand!


Hej,
Första uppgiften ser lättare ut till följd av symmetri.
I andra uppgiften har stång 3 en dubbelt så stor tvärsnittsarea vilket kommer resultera i en "skev" lösning.
Skicka med ditt lösningsförslag och facit om det är något mer i uppgiften du behöver hjälp med.
Calle_K skrev:Hej,
Första uppgiften ser lättare ut till följd av symmetri.
I andra uppgiften har stång 3 en dubbelt så stor tvärsnittsarea vilket kommer resultera i en "skev" lösning.
Skicka med ditt lösningsförslag och facit om det är något mer i uppgiften du behöver hjälp med.
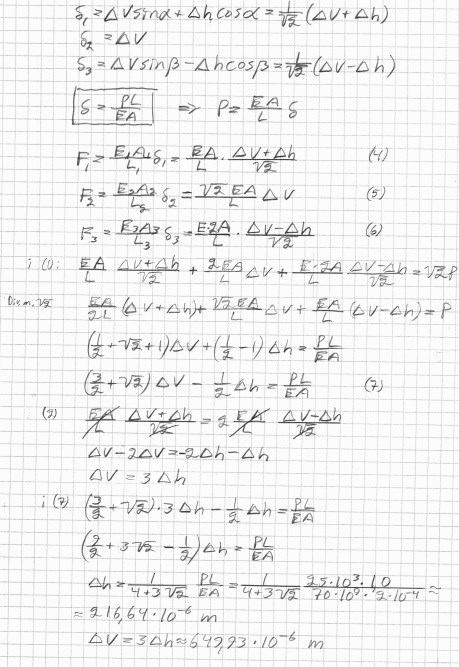
Alright, så anledningen till den "skeva" lösning är för att stång 3 har en dubbelt så stor tvärsnittsarea. Min fråga är då, hur vet jag hur deformationen blir till? Bifogar den hela lösningen till den andra uppgiften med deformationsfigur och deformationsfigur till bild 1. Deformationsfiguren till den första uppgiften övre förstår jag men inte den andra haha. Hur ska jag veta att den blir så?




bump?
De gör en generell ansats att knutpunkten förskjuts nedåt och åt höger. Dessa förskjutningar är obekanta som bestäms genom att man sätter upp ett antal ekvationer ur vilka dessa obekanta variabler bestäms.
Lösningsgången är.
Sätt upp jämviktsekvationer. Antag små deformationer så att jämvikten kan sättas upp med odeformerad geometri.
Hitta samband mellan stångkrafterna och stängernas förlängning.
Hitta samband mellan förskjutningen hos knutpunkten och stängernas förlängning.
Sätt samman alltihopa.
Ett alternativ till att rita grötiga figurer är följande approach.
Säg att vi har en stång vars ena ände förskjuts ett litet stycke . Om är en enhetsvektor parallell med stången och riktad mot den ände som förskjuts så ges stångens förlängning av
.

Vi kan tex tillämpa detta på stång 3 i vårt problem.
, .
, vilket är samma som facit kommer fram till.