Förståelse för lösningsförslag för en densitets uppgift med felgränser
Hej!
sitter och tittar i facit över en övningsuppgift som jag inte riktigt förstod hur jag skulle göra.
uppgiften är att jag ska räkna en metallcylinders densitet med felgränser. När jag tittar i facit så blev jag väldigt fundersam över hur de har gjort för att komma fram till svaret.
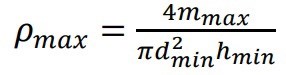
på den första bilden ser jag att det är formeln för densiteten men det jag inte riktigt förstår är varifrån 4m kommer ifrån? det jag inte riktigt heller förstår är d2 , för en cylinders volym räknas ut med π·r2·h. Hur kommer det sig att de har tagit med d2 istället för radien?
På de övriga bilderna förstår jag att de räknar ut maximala och- minimala densiteten och tar sedan densitetens medelvärde.
Den sista bilden är jag inte riktigt med på vad triangeln betyder samt vad det får ut med den beräkningen.
![]()
![]()
![]()
![]()

Djungelskog2000 skrev:på den första bilden ser jag att det är formeln för densiteten men det jag inte riktigt förstår är varifrån 4m kommer ifrån? det jag inte riktigt heller förstår är d2 , för en cylinders volym räknas ut med π·r2·h. Hur kommer det sig att de har tagit med d2 istället för radien?
Det man mäter (till exempel med skjutmått) är diametern. Inte radien. Så det är också d som man vet felgränsen av.
Talet 4 i täljaren kommer från (d/2)2 i nämnaren.
Pieter Kuiper skrev:Djungelskog2000 skrev:på den första bilden ser jag att det är formeln för densiteten men det jag inte riktigt förstår är varifrån 4m kommer ifrån? det jag inte riktigt heller förstår är d2 , för en cylinders volym räknas ut med π·r2·h. Hur kommer det sig att de har tagit med d2 istället för radien?
Det man mäter (till exempel med skjutmått) är diametern. Inte radien. Så det är också d som man vet felgränsen av.
Talet 4 i täljaren kommer från (d/2)2 i nämnaren.
Okej så om jag har förståt det rätt har de alltså multiplicerat med nämnaren med 4 för att få bort den?
Triangeln som är här vad innebär den då? Är det själva felgränsen som de har fått fram?
Djungelskog2000 skrev:Triangeln som är här vad innebär den då? Är det själva felgränsen som de har fått fram?
Det är den grekiska bokstaven delta (stora ), den vanliga symbolen för en skillnad.
Här då halva spannet, eftersom .