Förståelse för rotationsvolym
Hej jag lite svårt att begripa hur jag ska ställa upp integraler uttrycken när det kommer till rotationsvolymer.

Så hör tänkte jag det skulle bli. Men jag hade dessvärre fel

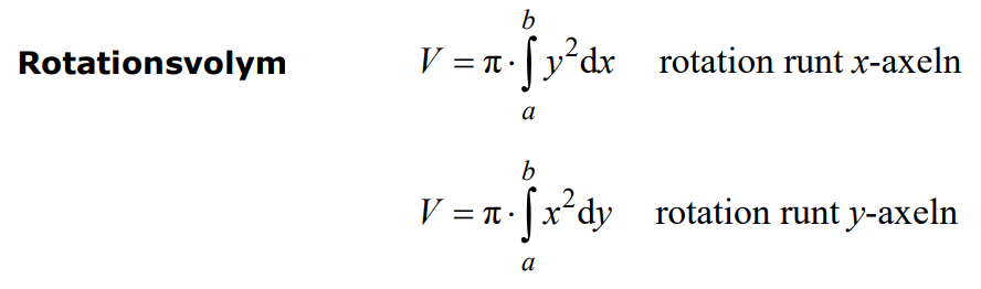
Nu ser jag i mitt formelblad att man skulle kvadrera sin varibel

Stämmer bra!
Det du gör är ju att du summerar arean av en massa cirklar. Arean av en sådan är ju pi*r2, inte pi*r.
Ok, då tror jag hänger med.
Utöver detr undrar jag varför man ändrar teckent på x och y när det kommer till axlarna som man ska ta den primitiva funktionen av ?
Arup skrev:[...]
Utöver detr undrar jag varför man ändrar teckent på x och y när det kommer till axlarna som man ska ta den primitiva funktionen av ?
Jag förstår inte riktigt vad du menar. Kan du visa med ett exempel?
se inlägg #3
Jag kanske var lite otydlig men det jag meande var när vi roterar runt y-axeln så itegrerar vi med variabeln och inte med y
När vi roterar runt x-axeln är det y som är radien i skivorna. När vi roterar runt y-axeln är det x.