Förstår ej variabelbytet



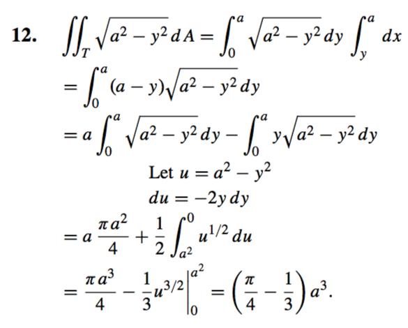
Nu försöker jag göra 12an och längst ner är facit, och i mitten är min lösning men som man ser så får jag problem med att jag har kvar y i en integral där på slutet. Men det känns som att jag gjort något fel där men jag kan inte komma på vad. (insåg nu också att jag glömde byta gränserna där på själva integralen men det jag behöver hjälp med är där det står frågetecken)
Jag fick också problem då jag försökte lösa den nu. Jag fick ta till grafritande mjukvara innan jag fick bukt på det.
För det första: även om du gör ett variabelutbyte för den ena integralen behöver du inte göra samma variabelutbyte för den andra integralen. Det tror jag ej heller att de har gjort i facit.
För det andra: om du ritar upp grafen till funktionen f(y)= sqrt(a2-y2) så ser du att du mellan y=0 till y=a får en kvarts cirkel. Med andra ord är det arean av en kvarts cirkel som den första integralen beskriver, en cirkel med radien a. En cirkels area är r*r*pi, så en fjärdedel av det borde bli det som facit säger.
Bedinsis skrev:Jag fick också problem då jag försökte lösa den nu. Jag fick ta till grafritande mjukvara innan jag fick bukt på det.
För det första: även om du gör ett variabelutbyte för den ena integralen behöver du inte göra samma variabelutbyte på andra integralen. Det tror jag ej heller att de har gjort där.
För det andra: om du ritar upp grafen till funktionen f(y)= sqrt(a2-y2) så ser du att du mellan y=0 till y=a får en kvarts cirkel. Med andra ord är det arean av an kvarts cirkel som den första integralen beskriver, en cirkel med radien a. En cirkels area är r*r*pi, så en fjärdedel av det borde bli det som facit säger.
Okej, så de gör inte variabelbytet för den integralen jag hade problem med utan där tänker de på vad integral representerar dvs area och räknar ut det för kvarts cirkeln, och sedan gör de variabelbytet för den integralen det fungerade för. Jag tror jag förstår! Jag ska ta med mig att man inte behöver göra variabelbytet för båda integraler när man delar upp dem. Tack.