2
svar
151
visningar
Förstår inte hur man ska kunna koppla de två ekvationerna
Jag har försökt utveckla dem och ser vad som händer men förstår inte hur jag ska koppla dem alls?

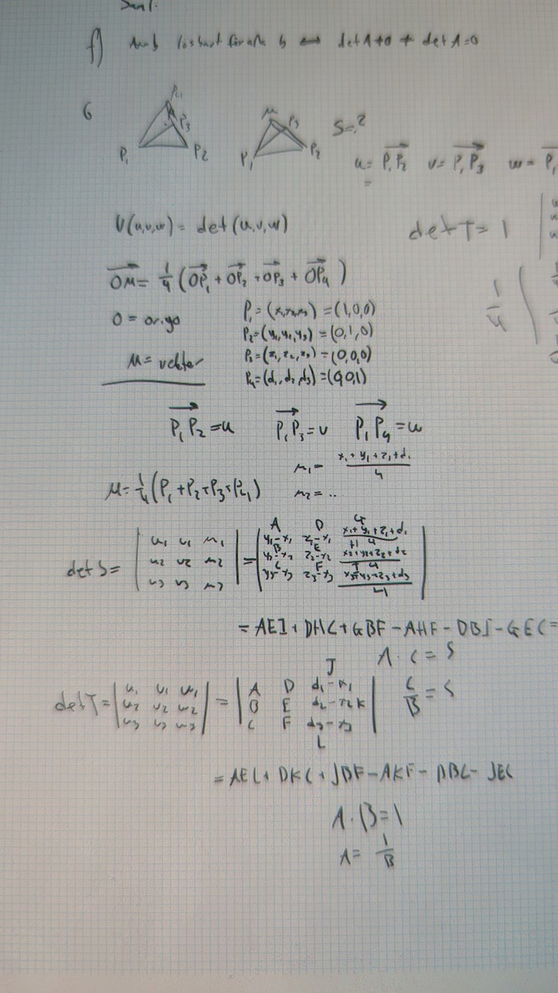
Man behöver uttrycka m.h.a. vektorerna u, v, w för att sedan kunna uttrycka volymen av den mindre tetraedern m.h.a. determinanten och därmed volymen av ursprungstetraedern.
.
Volymen av den mindre tetraedern är alltså
Tack så mkt