3
svar
125
visningar
nyckelpigan17 behöver inte mer hjälp
Förstår inte hur man upphör ett absolutbelopp

Hej, har sett att man gör såhär och förstår inte hur detta går till. Kan någon förklara? Vad händer med det imaginära? varför ändras inte högerled på något sätt?
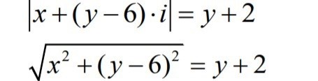
Absolutbeloppet av ett komplext tal är lika med avståndet mellan talet och origo, vilket enligt avståndsformeln (Pythagoras sats) är lika med .
I ditt fall är och .
Jaha det är vanliga avståndsformeln
Yes, that's it.