2
svar
146
visningar
Megalomanen behöver inte mer hjälp
Förstår inte vad frågan är ute efter.
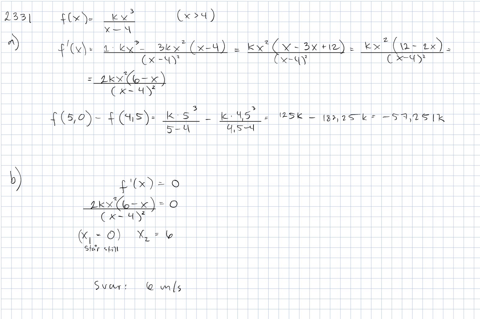
Hej! Jag undrar vad de menar med fråga a), samt hur börjar man med den? Jag gjorde en gissning med f(5,0) – f(4,5). Måste man bestämma k på något sätt?


Din ansats med f(5,0)-f(4,5) som svar på a-uppgiften är rätt.
Samma fråga har ställts tidigare, till exempel här.
Läs igenom den tråden och se om det hjälper. (Bland annat framkommer det där att det var fel i facit i just den boken.)
Fråga annars igen så förklarar vi mer ingående.
Okej tack! Jag fick rätt svar, men det visade sig att facit va fel!