Förvirrad angående när integralen ska bli en primitiv funktion..
God morgon Pluggakuten,
Jag håller på att bemästra integraler just nu och det går ändå framåt får jag säga.
Däremot har jag bekymmer med att förstå en grej, som inte framgår i mitt läromedel.
Uppgiften på bild 1 lyder; Hur långt rör sig föremålet under tidsintervallet från t=1,5t=1,5 till t=2,5?
Jag vet hur jag kommer fram till svaret, dvs att jag har löst uppgiften.
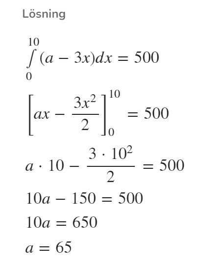
I uppgiften på bild 2 ska jag bestämma konstanten a så att svaret blir vad integralen säger att de blir, detta löste jag också.


Så, då har vi kommit till min fråga, som lyder;
På första bilden så blir den primitiva funktionen 12t+5t^3, medan i den andra bilden blir det ax-3x^2/2,
Så det jag vill veta är, hur kan jag urskilja på uppgifterna när upphöjandet av t ska delas med exponenten och inte?
Jag var säker på att rätt sätt var "12t+5t^3/3" men det var det inte så jag provade utan /3 och det blev rätt.
Så jag gjorde likadant på den andra uppgiften, dvs ax-3x^2, men det blev fel utan var /2, så då gjorde jag det och det blev rätt.
Varför är det tvärtom i dessa uppgifterna? Alltså, varför delar jag inte med exponenten i första uppg. men gör det i andra ?
Jag ska skriva nationella på torsdag och behöver förstå skillnaden och hur jag ska kunna avgöra detta på ett prov som inte rättar mig innan inlämning.
Tacksam för svar och tack på förhand,
Z
Om jag förstår frågan rätt, så missar du att är det faktiskt finns en division med tre.
15*t^2 integreras till 15*t^3/3, men 15/3 är ju helt enkelt 5.
Aaeee, vilken miss... *facepalm*
Du förstår frågan rätt och påvisade precis mitt slarv. TACK!
Tusen Tack Bubo, ska helt enkelt kolla igenom varje tecken extra noga framöver.
Må vä,
Z