2
svar
101
visningar
Förvirrad över potensregel
Hej,
Jag har fastnat på detta:

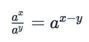
Då använder man regeln 
och sedan även


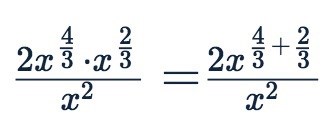
I reglerna så ska ju talen vara samma, dvs a = a. Tänker att 2x är ju inte samma sak som bara x? så hur kan man då använda lagarna? då borde ju lagarna vara skrivna så att det tydligt framgår att det också kan se ut såhär:

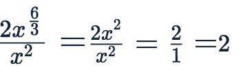
I så fall .
LumpyFishSwimming skrev:I reglerna så ska ju talen vara samma, dvs a = a. Tänker att 2x är ju inte samma sak som bara x?
De båda potensuttrycken har samma bas, nämligen x.
När det står 2x4/3•x2/3 så betyder det 2•(x4/3)•(x2/3).
Det du är ute efter är om det skulle stå (2x)4/3•x2/3.
Men i så fall skulle man kunna använda potenslagen (ab)c = ac•bc för att skriva om uttrycket till 24/3•x4/3•x2/3 och så skulle det fungera ändå.