3
svar
315
visningar
Studenten06 behöver inte mer hjälp
Förvirrande modulo uppgift
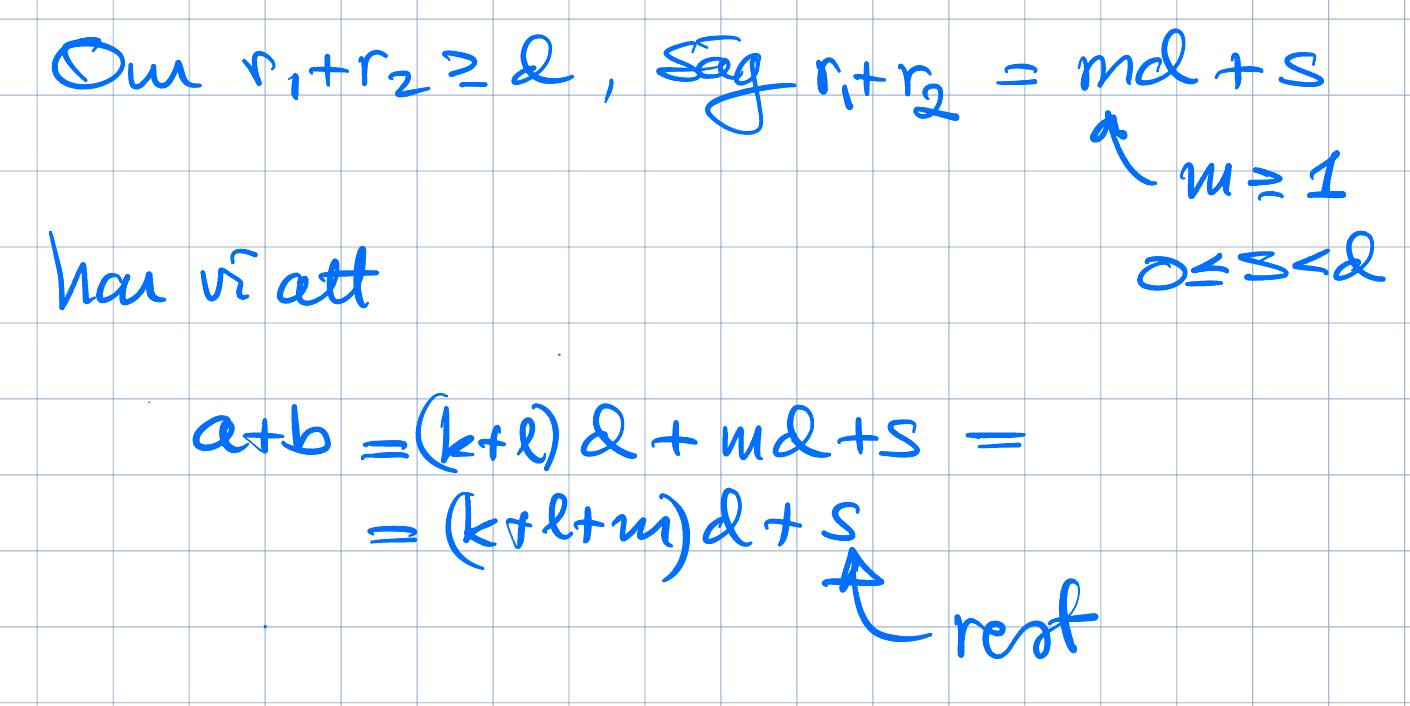
Uppgift: Antag att a, b, l och k är positiva heltal så att a= k gånger d + r1 och b= l gånger d + r2
där r1 + r2 < d
Visa att vid division med d har summan a + b resten r1 + r2
Jag fattar inte ens vad jag ska identifiera. Tacksam för hjälp!
Trinity2 skrev:
Tack för ditt svar men jag fattar inte hur du kommer fram till det svaret. Om resterna är mindre än d vad har det för betydelse i detta? Och hur ser det ut när du dividerar?


