1 svar
94 visningar
nessa17 behöver inte mer hjälp
nessa17 51
Postad: 27 jan 2022 22:21

Fotoelektrisk effekt, är dessa svar rätt?

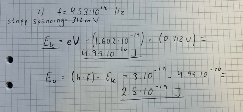
Är dessa svar rätt? Finns inget facit för uppgiften... man skulle hitta rörelseenergin hos en elektron och sedan uträdesenergin för elektronen.

SaintVenant 3999
Postad: 28 jan 2022 00:42

Uträdesarbetet för materialet*

Ja, det ser rätt ut.

Svara
Close