Fouirerserie

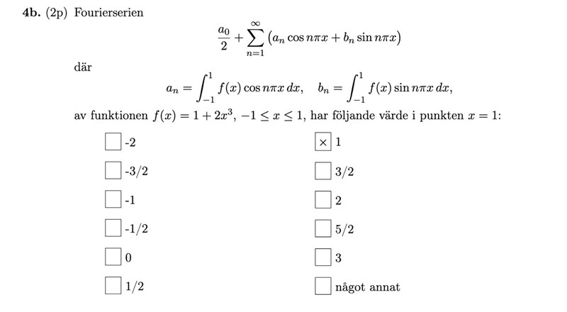
Borde inte svaret vara 3? Enligt satsen som säger att fourierserien har samma värde som f i punkter där f och f' är kontinuerliga? f(1)=1+2=3
Fourierserien blir en periodisk funktion g(x) som upprepar f(x) med perioden 2.
I ändpunkterna av intervallen så går g(x) mot f(1) eller f(-1) beroende på från vilket håll man kommer, och precis på gränsen blir g(1) = (f(-1)+f(1))/2.
Hur relevanta satser låter vet jag inte riktigt. Kan du visa satsen som du citerar?
Laguna skrev:Fourierserien blir en periodisk funktion g(x) som upprepar f(x) med perioden 2.
I ändpunkterna av intervallen så går g(x) mot f(1) eller f(-1) beroende på från vilket håll man kommer, och precis på gränsen blir g(1) = (f(-1)+f(1))/2.
Hur relevanta satser låter vet jag inte riktigt. Kan du visa satsen som du citerar?

Det står att serien konvergerar mot f(x) på intervallet (a, b), ändpunkterna ingår alltså inte.
Laguna skrev:Det står att serien konvergerar mot f(x) på intervallet (a, b), ändpunkterna ingår alltså inte.
Ahaa okej, men hur ska man göra med ändpunkterna då?
Tänk dig att du utvidgar din funktion genom upprepning så att den gäller på ett större intervall. Fourierserien blir densamma, men x = 1 är inte längre en ändpunkt. Använd (ii) av satsen.
PATENTERAMERA skrev:Tänk dig att du utvidgar din funktion genom upprepning så att den gäller på ett större intervall. Fourierserien blir densamma, men x = 1 är inte längre en ändpunkt. Använd (ii) av satsen.
Yes okej. Men hur vet man att man inte får använd i) ?
den är väl ändå kontinuerlig där? Eller är den inte det eftersom funktionen ”startar om”? Men det borde den ju inte? Den har ju samma värde alltid i 1 oavsett?
Det ser du om du ritar.
Tillägg: 2 jun 2024 13:20

PATENTERAMERA skrev:Det ser du om du ritar.
Tillägg: 2 jun 2024 13:20
Hmmm men hur blir det sådär? Hur kan ”1+x^3” ha olika värden för samma x?
Du kan väl säga att den röda gäller för värden större än 1. Då blir det inget överlapp.
PATENTERAMERA skrev:Du kan väl säga att den röda gäller för värden större än 1. Då blir det inget överlapp.
Men liksom om röd graf också ska vara f=1+x^3 så stämmer det ju inte enligt bilden att tex f(2) = 1+2^3 = 9? Enligt bilden är f(2)=1 ju?
Du måste förskjuta kurvan.
Dvs för 1 < x < 3 så är uttrycket 1 + 2(x-2)3.
PATENTERAMERA skrev:Du måste förskjuta kurvan.
Dvs för 1 < x < 3 så är uttrycket 1 + 2(x-2)3.
Ahaa Aa okej tack!